Adrenalin
von lateinisch: glandula adrenalis - Nebennierenmark
Handelsnamen: Adrenalin®, Anapen®, Emerade®, Epinephrin®, Epipen®, Eurneffy®, Fastjekt®, Infectokrupp®, Jext®, Suprarenin®
Synonym: Epinephrin
Englisch: epinephrine, adrenaline
Definition
Adrenalin ist ein zur Gruppe der Katecholamine gehörendes Hormon, das im Nebennierenmark gebildet wird. Es ist ein wichtiger Neurotransmitter.
Chemie
Adrenalin hat die Summenformel C9H13NO3 und eine molare Masse von 183,2 g/mol.
Metabolismus
Synthese
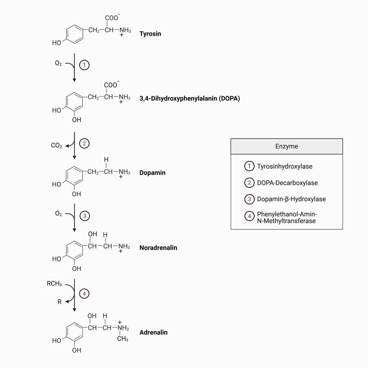
Adrenalin kann im menschlichen Organismus aus den Aminosäuren Phenylalanin beziehungsweise Tyrosin synthetisiert werden. Die für die Synthese benötigten Reaktionsschritte laufen weitgehend in den chromaffinen (adrenergen) Zellen des Nebennierenmarks ab. Den postsynaptischen Neuronen des Sympathikus fehlt das Enzym N-Methyl-Transferase, so dass die Synthese von Adrenalin aus Noradrenalin hier nicht möglich ist.
Im ersten Schritt der Adrenalin-Biosynthese wird das Tyrosin-Molekül am C3-Atom durch das Enzym Tyrosin-Hydroxylase mit einer zweiten Hydroxylgruppe ausgestattet und liegt damit als 3,4-Dihydroxyphenylalanin (DOPA) vor. Danach decarboxyliert das Enzym DOPA-Decarboxylase das entstandene Molekül zum biogenen Amin Dopamin.
Durch die Hydroxylierung der Seitenkette mit Hilfe der Dopamin-Hydroxylase entsteht Noradrenalin; bei diesem Reaktionsschritt ist Ascorbinsäure als Cofaktor beteiligt. Im letzten Schritt überträgt die N-Methyl-Transferase eine Methylgruppe von S-Adenosyl-Methionin auf die Aminogruppe der Seitenkette.
Abbau
Adrenalin kann nach Ausschüttung in die Blutbahn enzymatisch inaktiviert werden. Dieser Schritt wird von zwei Enzymen vermittelt:
- Catechol-O-Methyltransferase (COMT): Übertragung einer Methylgruppe von S-Adenosyl-Methionin auf Katecholamine
- Monoaminoxidase (MAO): Desaminierung zu Vanillinmandelsäure, die im Urin nachgewiesen werden kann.
Funktion
Adrenalin entfaltet seine Wirkung im menschlichen Organismus an sogenannten Adrenozeptoren. Es steigert den Gefäßtonus, erhöht Blutdruck und Herzfrequenz und wirkt katabol auf den Glykogen- und Glucosestoffwechsel. Daneben sorgt Adrenalin für den Abbau von Triglyceriden im Fettgewebe.
Pathophysiologie
Eine Überproduktion von Adrenalin kann beim sogenannten Phäochromozytom vorkommen. Hierbei imponieren unter anderem zu hoher Blutdruck, Schweißausbrüche, Kopfschmerzen und Herzklopfen.
Daneben sind verschiedene Defekte der Enzyme des Adrenalin-Stoffwechsels beschrieben.
Pharmakologie
Indikationen
Adrenalin findet Verwendung in der Notfall- und Schocktherapie. Es ist ein wichtiger Wirkstoff im Rahmen der kardiopulmonalen Reanimation bei Kreislaufstillstand. Adrenalin steigert durch Verengung der kleinen Arteriolen den peripheren Widerstand und erhöht den diastolischen Blutdruck, was die Chancen einer Reanimation verbessert. Seine Anwendung ist jedoch nicht unumstritten, da es die zerebrale Mikrozirkulation verschlechtert und die Thrombozytenaggregation fördert.[1]
Weitere Einsatzgebiete sind der akute Asthmaanfall und die Anaphylaxie. In diesem Fall wirkt Adrenalin bronchodilatativ und vermindert durch Aktivierung der β2-Rezeptoren der Mastzellen die Histaminfreisetzung.
Außerdem wird Adrenalin häufig Lokalanästethika beigemischt, um an der Operationsstelle durch Vasokonstriktion die Blutung zu minimieren sowie die Aufnahme des Narkosemittels ins Blut zu verhindern.
Bei bradykarden Herzrhythmusstörungen wirkt Adrenalin über sympathische Nervenfasern auf β1-Rezeptoren und steigert so die Frequenz und Kontraktionskraft des Herzens.
Darreichungsformen
Adrenalin ist als Injektionslösung in Ampullen in zwei unterschiedlichen Dosierungen verfügbar:
- 1:1.000, 1 mg auf 1 ml, muss vor der Anwendung mit 9 ml Kochsalzlösung 0,9 % (1:10) verdünnt werden
- 1:10.000, 2 mg auf 20 ml, spritzfertige Lösung
Adrenalin ist weiterhin als Nasenspray (2 mg/0,1 ml Einzeldosisbehälter) erhältlich. Die Patienten sollen zwei Nasensprays zur Behandlung eines allergiebedingten Notfalls mit sich führen.[2]
Dosierung
Adrenalin wird bei Erwachsenen wie folgt dosiert:[3][4]
Reanimation
- Bei Kreislaufstillstand mit nicht defibrillierbarem Rhythmus sobald wie möglich 1 mg Adrenalin i.v. oder i.o.
- Bei Kreislaufstillstand mit defibrillierbarem Rhythmus nach dem 3. Schock 1 mg Adrenalin i.v. oder i.o.
- Die Gabe von 1 mg Adrenalin i.v. oder i.o. wird alle 3 bis 5 Minuten wiederholt, solange die Reanimation andauert.
Anaphylaxie
- Nasenspray: Ein Sprühstoß (2 mg Adrenalin) in ein Nasenloch verabreichen; bleibt eine klinische Besserung aus oder verschlimmern sich die Symptome nach der ersten Anwendung, wird 10 Minuten nach der ersten Dosis eine zweite Dosis in dasselbe Nasenloch verabreicht.[2]
- Autoinjektor: Sofortige intramuskuläre Injektion einer Dosis von 0,15 bis 0,6 mg Adrenalin in die Außenseite des Oberschenkels.
- Bei fehlender Stabilisierung der Symptomatik und drohender Kreislaufdekompensation erfolgt die intravenöse Gabe. Dazu wird 1 mg Adrenalin in 100 ml Kochsalzlösung 0,9 % verdünnt, sodass eine Lösung von 10 µg/ml entsteht. Sie wird titrierend mit einzelnen Boli von 1 µg/kgKG unter kontinuierlicher Kontrolle der Vitalparameter, in Abhängigkeit von Wirkung und Nebenwirkungen verabreicht.
Hinweis: Diese Dosierungsangaben können Fehler enthalten. Ausschlaggebend ist die Dosierungsempfehlung in der Herstellerinformation.
Stabilität
Wie alle Katecholamine ist Adrenalin anfällig für Oxidation. Unter anderem entsteht dabei das rote Oxidationsprodukt Adrenochrom. In wässriger Lösung kann die Oxidation durch Spuren von Metall- und Iodionen katalysiert werden. Um einen Abbau durch Oxidation vorzubeugen, können in wässriger Lösung Antioxidantien wie z.B. Ascorbinsäure zugesetzt werden. Ein pH-Wert zwischen 3 und 4 kann die Oxidation des Adrenalins zusätzlich verlangsamen.
Quellen
- ↑ Perkins GD et al. A Randomized Trial of Epinephrine in Out-of-Hospital Cardiac Arrest A Randomized Trial of Epinephrine in Out-of-Hospital Cardiac Arrest. The New England Journal of Medicine. Published on 2018-07-18. DOI: 10.1056/NEJMoa1806842
- ↑ 2,0 2,1 Zusammenfassung der Merkmale des Arzneimittels Eurneffy, EMA, abgerufen am 15.09.2024
- ↑ Deutscher Rat für Wiederbelebung – German Resuscitation Council e.V. (GRC) Reanimation 2021 – Leitlinien kompakt Überarbeitete Version 2022, S. 57 ISBN 978-3-00-068718-1
- ↑ Ring J et al.: Leitlinie zu Akuttherapie und Management der Anaphylaxie - Update 2021 Allergo J. 2021;30(1):20-49. German. doi: 10.1007/s15007-020-4750-0. Epub 2021 Feb 12. PMID: 33612982; PMCID: PMC7878028.