Adrenochrom
von lateinisch: ad - zu, ren - Niere; altgriechisch: χρῶμα ("chrōma") - Farbe
Synonym: 3-Hydroxy-1-methyl-2,3-dihydro-1H-indol-5,6-dion (IUPAC)
Englisch: adrenochrome
Definition
Geschichte
In den 1950er Jahren wurde die Hypothese aufgestellt, dass Adrenochrom verantwortlich für die Symptome der Schizophrenie sei (Adrenochrom-Hypothese). In den darauffolgenden Jahrzehnten wurde Adrenochrom daher im Rahmen klinischer Studien auf seine psychotogene bzw. auf bestehende Psychosen exazerbierende Wirkung untersucht. Anhand der Ergebnisse wurde die anfängliche Hypothese jedoch widerlegt.
Chemie
Adrenochrom hat die Summenformel C9H9NO3 und eine molare Masse von 179,17 g/mol. Es ist in Wasser und Ethanol leicht löslich.
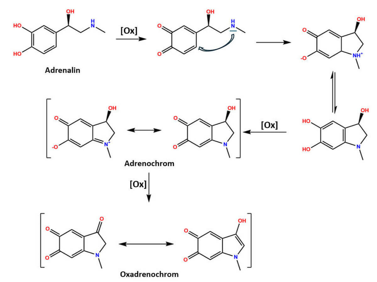
Adrenochrom bildet sich in mehreren Schritten durch Oxidation von Adrenalin. Durch die Katechol-Struktur ist Adrenalin sehr oxidationsempfindlich. Bei Oxidation entsteht ein Benzochinon. Letzteres weist zwei 2,3-ungesättigte Carbonylfunktionen auf, die einen Michael-Akzeptor darstellen. Anschließend findet eine intramolekulare Michael-Addition zwischen dem Michael-Akzeptor und der Aminogruppe statt, wobei ein fünfgliedriger Ring im Molekül entsteht. Er kann erneut oxidiert werden, wobei Adrenochrom entsteht.
Adrenochrom kann in mehreren mesomeren Grenzformeln dargestellt werden. Es ist ein Merocyanin-Farbstoff, wodurch es auffallend violett gefärbt ist. Dies spiegelt sich in seiner Namensgebung mit dem Sufffix "-chrom" wieder. Adrenochrom kann weiter oxidiert werden, wobei das farblose Oxadrenochrom entsteht.
Biochemie
Synthese
Die Oxidationsreaktion von Adrenalin zu Adrenochrom ist sowohl in vivo als auch in vitro zu beobachten.
In vivo
Im Körper erfolgt die Bildung durch Superoxid-Anionen. Weiterführende Oxidationsreaktionen führen zu braun-schwarzen Metaboliten, die für die Hauptpigmentierung verantwortlich sind.
In vitro
Adrenalin kann durch Silber(I)-oxid (Ag2O) oxidiert werden. An der Luft ist Adrenochrom jedoch äußerst instabil und reagiert rasch zu anderen Substanzen.
Regulation
Die Oxidation zu Adrenchrom kann durch das Enzym Superoxiddismutase gehemmt werden, da dieses die benötigten Superoxide zu Wasserstoffperoxid umsetzt.
Abbau
Adrenochrom wird durch das Enzym Glutathion-S-Transferase mit dem Antioxidans Glutathion konjugiert und anschließend abgebaut.
Pharmakologie
Adrenochrom wird gegenwärtig (2022) kein klinischer Nutzen zugeschrieben. Ein Derivat des Adrenochroms, das Carbazochrom, findet jedoch als antihämorrhagischer Wirkstoff Verwendung.
Pharmazie
Die Adrenochromreaktion ist eine Instabilitätsreaktion des Adrenalins und somit von pharmazeutischer Relevanz. Aus diesem Grund wird Adrenalin in Arzneiformen mit Ascorbinsäure oder Natriumhydrogensulfit stabilisiert. Daneben dient es als Nachweisreaktion für Adrenalin, wobei es die Anwesenheit von Adrenalin durch die violette Färbung nach Zugabe eines Oxidationsmittels anzeigt. Das Adrenalin neigt eher zur Adrenochrombildung als Noradrenalin.
Trivia
Verschwörungstheoretiker behaupten, dass ein geheimes Untergrundnetzwerk existiert, das Kinder entführt und von diesen Adrenochrom als "Lebenselixier" zur Verjüngung des eigenen Organismus gewinnt. Diese abstruse Theorie hat den Schönheitsfehler, dass Adrenochrom problemlos synthetisch hergestellt werden kann und keinerlei verjüngende Wirkung besitzt.