Bleomycin
Handelsnamen: Bleo-cell®, Bleomedac®, diverse Generika
Englisch: bleomycin
Definition
Bleomycin ist ein antineoplastischer Arzneistoff aus der Gruppe der Antibiotika. Es wird in Kombination mit anderen Zytostatika zur Therapie verschiedener maligner Tumoren eingesetzt.
Herkunft
Bleomycin wird aus einer bestimmten Art von Streptomyceten gewonnen, dem Streptomyces verticillus. Es ist ein Glykosid und wurde 1962 das erste Mal entdeckt.
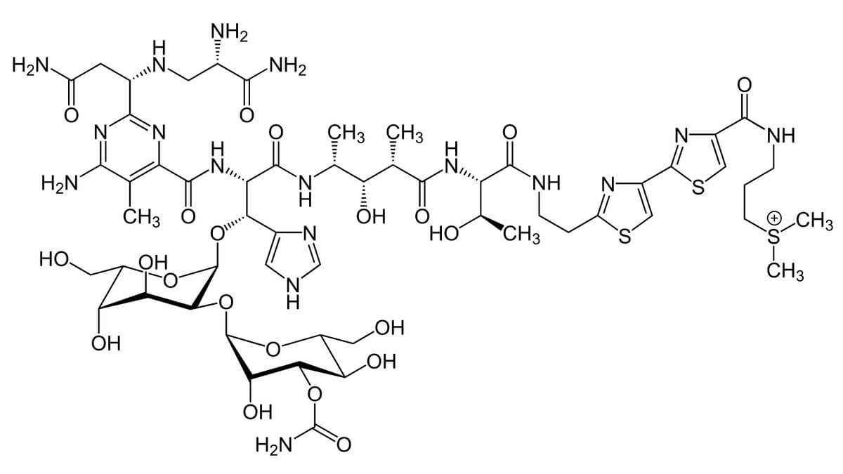
Chemie
Bleomycin hat die Summenformel C55H84N17O21S3 und eine molare Masse von 1415,56 g/mol. Es handelt sich um ein hydrophiles Glykopeptid mit zahlreichen polaren funktionellen Gruppen, was die geringe orale Bioverfügbarkeit erklärt und die parenterale Gabe erforderlich macht.
Das Molekül besitzt eine hohe Affinität zur Komplexierung zweiwertiger Metallionen, insbesondere Eisen(II). Dieser Metallkomplex bildet in Anwesenheit von molekularem Sauerstoff reaktive Sauerstoffspezies (ROS), die für die zytotoxische Wirkung verantwortlich sind.
Bleomycin hat eine begrenzte Stabilität gegenüber Licht und erhöhten Temperaturen und sollte daher lichtgeschützt und entsprechend den Herstellerangaben gelagert werden.
Wirkmechanismus
Bleomycin ist ein Glykopeptid mit zytotoxischer Wirkung. Der pharmakologische Effekt von Bleomycin beruht auf einer Interaktion mit einzel- und doppelsträngiger DNA, die zu Strangbrüchen führt. Der exakte biochemische Ablauf ist derzeit (2026) noch nicht bekannt. Es wird vermutet, dass reaktive Sauerstoffspezies Wasserstoff aus der DNA abspalten und es in der Folge zu Strangbrüchen und Basenmodifikationen kommt.
Neuere experimentelle und strukturelle Studien konnten zeigen, dass Bleomycin bevorzugt an bestimmte DNA-Sequenzen bindet und die Schädigung nicht ausschließlich unspezifisch erfolgt. Der Wirkstoff wirkt dabei funktionell als Pseudoenzym, das wiederholt oxidative DNA-Schäden katalysieren kann. Die zytotoxische Wirkung ist besonders ausgeprägt in der G₂-Phase des Zellzyklus, was zu einer Zellzyklus-Arrestierung vor der Mitose führt.
Indikation
Bleomycin wird im Rahmen der Chemotherapie bei verschiedenen malignen Tumoren eingesetzt, meist gemeinsam mit anderen zytostatischen Wirkstoffen als Polychemotherapie. Beispiele sind das ABVD-Schema, das PEB-Schema oder das BEACOPP-Schema. Gut differenzierte Tumore sprechen in der Regel besser an als anaplastische Tumore.
Mögliche Indikationen sind:
- Plattenepithelkarzinome des Kopf- und Halsbereichs, des Larynx, des Ösophagus, der Cervix uteri und Vulva, des Penis oder der Haut
- Keimzelltumoren, darunter Seminom und Nichtseminome
- Lymphome: Hodgkin-Lymphome, Non-Hodgkin-Lymphome, einschließlich Mycosis fungoides
- Sonstige: Palliative intrapleurale Therapie maligner Pleuraergüsse
Etwas aus der Reihe fällt die topische Verwendung in der Dermatologie. Dort wird der Wirkstoff in Kombination mit Salicylsäure zur Behandlung von Warzen benutzt.
Nebenwirkungen
Bleomycin weist ein charakteristisches Nebenwirkungsprofil mit dosislimitierender pulmonaler Toxizität auf.
Lunge
- Interstitielle Pneumonie
- Lungenfibrose (bei etwa 10–20 % der Patienten)
- Dyspnoe
- Husten
Das Risiko pulmonaler Komplikationen steigt bei höheren kumulativen Dosen, vorbestehender Lungenerkrankung, höherem Lebensalter sowie bei eingeschränkter Nierenfunktion.
Die gleichzeitige Exposition gegenüber hohen Sauerstoffkonzentrationen (z.B. perioperativ) erhöht die Gefahr einer Lungenschädigung deutlich, da Sauerstoff die Bildung freier Radikale unter Bleomycin begünstigt.
Haut
- Exantheme und Erytheme
- Pruritus
- Hyperpigmentierungen
- Alopezie
- Bleomycin-induzierte Flagellantendermatitis
Gastrointestinaltrakt
Sonstige Nebenwirkungen
- Fieber, Schüttelfrost
- Ödeme
- Myelosuppression (meist mild ausgeprägt)
Bei einer eingeschränkten Nierenfunktion muss eine Dosisanpassung erfolgen.
Kontraindikationen
- Überempfindlichkeit gegenüber dem Wirkstoff
- Schwangerschaft
- Stillzeit
- pulmonale Infekte
- hochgradige Einschränkung der Lungenfunktion
- Lungenembolie
- Lungenfibrose
- Behandlungen unter Lachgas
Quelle
- Wang et al. Real-world effectiveness and safety of bleomycin in patients with keloids and hypertrophic scars: a systematic review and meta-analysis. Archives of Dermatological Research. 317(170). 2025