Pullulan
Wir werden ihn in Kürze checken und bearbeiten.
Wir werden ihn in Kürze checken und bearbeiten.
Englisch: pullulan
Definition
Pullulan ist ein pharmazeutischer Hilfsstoff, der als Bindemittel in der Granulation und als Gelatine-Ersatz in der Kapselherstellung eingesetzt wird.
Chemie
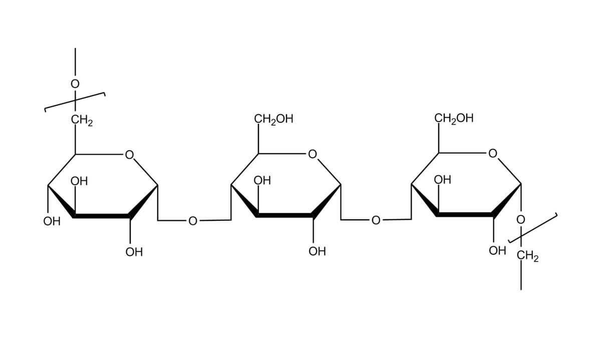
Pullulan ist ein Polysaccharid, das aus Maltotriose-Einheiten aufgebaut ist. Jede Maltotriose-Einheit besteht aus drei Glukosemolekülen, die über α-1,4-glykosidische Bindungen miteinander verknüpft sind. Die Maltotriose-Oligomere sind wiederum über α-1,6-glykosidische Bindungen miteinander verbunden. Es können auch α-1,3-Bindungen vorkommen. Pullulan liegt bei Raumtemperatur als weißes bis gelbliches Pulver vor. Der Schmelzpunkt liegt bei 250 bis 280 °C. Es ist leicht löslich in Wasser. Jedoch ist es schlecht löslich in Dimethylformamid (DMF) und Dimethylsulfoxid (DMSO), und unlöslich in anderen organischen Lösemitteln. Wässrige Lösungen mit Pullulan weisen einen pH-Wert von 5 bis 7 auf und zeigen eine erhöhte Viskosität mit steigender Pullulankonzentration.
Pullulan wird über Fermentation hergestellt. Dabei wird Stärke als Ausgangsstoff verwendet, und die enzymatische Reaktion wird mithilfe des Pilzes Aerobasidium pullulans durchgeführt.
Anwendung
In der Granulation werden Pullulanlösungen als Bindemittel eingesetzt. Die Anwendungskonzentration beträgt 5 bis 10%.
Pullulan kann als vegane Alternative zu Gelatine in der Kapselherstellung verwendet werden. In Anwendungskonzentrationen von 5 bis 10% bilden Lösungen nach dem Trocknen transparente Filme, die bioabbaubar sind. Die Filmdicke beträgt 5 bis 60 µm.
In der Forschung wird Pullulan für die Herstellung von beispielsweise Liposomen oder Nanopartikeln untersucht.
Inkompatibilitäten
Momentan (2025) sind keine Inkompatibilitäten von Pullulan bekannt.
Lagerung
Pullulan kann sowohl in fester Form als auch in Lösung stabil gelagert werden.
Toxizität
Pullulan ist eine GRAS-Substanz. Das Polysaccharid wird im Körper zu Glukose gespalten und metabolisiert. Dementsprechend zeigt es keine toxischen Effekte und ist weder carcinogen noch mutagen.
Quellen
- Peter C. Schmidt, Siegfried Lang (2013): Pharmazeutische Hilfsstoffe, Govi-Verlag, Eschborn